EBMT移路守护丨浙一血液骨髓移植中心团队罗依/施继敏/叶逸山:聚焦AML移植新趋势,深析VFM预处理方案与单倍体移植应用前景

血液时讯 发表时间:2025/5/14 16:08:30

第51届欧洲血液与骨髓移植学会年会(EBMT 2025)期间,《肿瘤瞭望-血液时讯》特别推出聚焦移植全流程管理的《移路守护》学术专栏。本次会议中,浙江大学医学院附属第一医院血液骨髓移植中心团队携27项研究成果(10项口头报告、17项壁报)亮相(点击链接查看:EBMT 2025丨27项成果入选!浙一黄河教授团队从CAR-T到移植策略多维革新,系统性展示血液疾病诊疗"中国方案"),彰显了中国在血液肿瘤治疗领域的创新实力。本期专栏特邀罗依教授、施继敏教授与叶逸山副研究员,基于团队研究成果,围绕急性髓系白血病患者的预处理方案革新与单倍体移植价值,剖析现存挑战与解决方案。

 

研究者“浙”样说

老年患者的创新预处理方案


随着全球老龄化进程的加速,老年血液系统恶性肿瘤的治疗领域正面临着独特的挑战,此类疾病在老年群体中的发病率呈现上升趋势。传统的治疗模式在应对老年患者时往往受限,尤其是对于那些体能状态欠佳、伴有多种基础疾病的患者,现有的治疗方案难以兼顾疗效与安全性的平衡。在这样的背景下,医学界对创新治疗策略的需求日益迫切。近年来,新的移植预处理理念和方法不断涌现,为老年血液系统恶性肿瘤的治疗带来了新的希望和可能性。


 


罗依教授:目前,在老年血液系统恶性肿瘤患者中,异基因造血干细胞移植仍是根治的重要手段之一。然而,老年患者因年龄较大常合并多种疾病,体能状况相对较差,难以耐受清髓性预处理(MAC)方案所带来的毒副作用。因此,对于老年血液系统恶性肿瘤患者而言,如何优化预处理方案,是一个亟待解决的临床问题。
 

近年来,本中心一直在探索新的预处理方案,主要针对老年急性髓系白血病(AML)和高危骨髓增生异常综合征(MDS)患者。自BCL-2抑制剂维奈克拉问世以来,在老年AML患者以及高危MDS患者中已显示出良好的耐受性和疗效。既往研究亦表明,将维奈克拉加入预处理方案中,可有效增强抗白血病作用。基于此,本中心开展了一项前瞻性、多中心的Ⅱ期临床试验,旨在评估在氟达拉滨和美法仑预处理方案中加入维奈克拉,对于年龄大于50岁的髓系恶性肿瘤患者的疗效及安全性。
 

在EBMT 2024上公布的中期分析共纳入了51例患者高危MDS和AML患者。研究表明,维奈克拉联合氟达拉滨和美法仑的VFM预处理方案具有可行性和有效性,能使年龄大于50岁的髓系恶性肿瘤患者在allo-HSCT后获得良好的预后。移植后+100天内,II-IV级急性移植物抗宿主病(GVHD)的累积发生率为9.8%,中重度慢性GVHD的累积发生率为6.9%。1年复发累积发生率和非复发死亡率分别为11.0%和7.1%,1年总生存率(OS)、无病生存率(DFS)以及GRFS分别为85.5%、81.7%和75.5%。
 

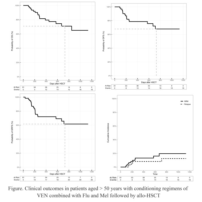
近期,我们对上述临床试验中的AML亚组进行了总结分析,共纳入61例年龄大于50岁的AML患者。中位随访时间超过2年,中重度慢性GVHD的累积发生率为7.20%。采用VFM预处理方案进行异基因造血干细胞移植后,2年的OS、DFS和GRFS分别为71%、67.9%和61.6%。移植后2年的复发累积发生率为12%。
 

因此,中期研究结果以及长期随访数据均显示,VFM预处理方案对于50岁以上的髓系肿瘤患者具有良好的安全性和有效性。我们亦期望通过优化移植的整体管理体系,能够进一步提升老年AML患者的生存率,在追求疾病根治的目标下,进一步提高疗效,改善患者的预后。

 

B126
LOW INCIDENCE OF GRAFT-VERSUS-HOST DISEASE AND SATISFACTORY EFFICACY OF VFM CONDITIONING REGIMEN FOR PATIENTS>50 YEARS WITH ACUTE MYELOID LEUKEMIA UNDERGOING ALLO-HSCT

VFM预处理方案用于>50岁急性髓系白血病患者异基因造血干细胞移植(allo-HSCT)的低移植物抗宿主病(GVHD)发生率及满意疗效

第一作者:朱盼盼(浙江大学医学院附属第一医院骨髓移植中心)

通讯作者:黄河、罗依(浙江大学医学院附属第一医院骨髓移植中心)
 

研究背景:在进行异基因造血干细胞移植(allo-HSCT)前使用清髓性预处理(MAC)方案,虽能优化疾病控制效果,但存在显著的毒性风险。因此,老年患者往往被认为不适合接受MAC方案,而只能采用减低强度预处理(RIC)方案。口服Bcl-2抑制剂及BH3模拟物维奈克拉(VEN)可增强预处理方案的抗白血病效果。所以,我们开展了一项前瞻性、多中心的II期临床试验(NCT05084027),旨在评估对于年龄大于50岁的髓系恶性肿瘤患者,在氟达拉滨(Flu)和美法仑(Mel)预处理方案中加入VEN的安全性和疗效。
 

在中期分析中,我们纳入了51例患者。研究表明,VEN联合Flu和Mel的预处理方案具有可行性和有效性,对于年龄大于50岁的髓系恶性肿瘤患者,该方案能使allo-HSCT获得良好的预后。51例患者均有完整的毒性数据。14例患者(27.5%)出现3级口腔黏膜炎,未观察到与毒性相关的死亡病例。移植后+100天内,II-IV级急性移植物抗宿主病(GVHD)的累积发生率为9.8%。51例患者中仅2例发生III-IV级急性GVHD,无患者发生IV级急性GVHD,也无因GVHD导致的死亡病例。1年时,无患者发生重度慢性GVHD,中重度慢性GVHD的累积发生率为6.9%。1年复发累积发生率和非复发死亡率分别为11.0%和7.1%。1年总生存率(OS)、无病生存率(DFS)和移植后无复发或无GVHD生存率(GRFS)分别为85.5%、81.7%和75.5%。
 

研究结果:在2021年10月至2023年3月期间,共纳入61例年龄大于50岁的AML患者进行最终分析。中位随访时间分别为536天,患者的中位年龄为58岁。累计有14例患者出现3级黏膜炎,未出现4-5级毒性反应。移植后100天,III-IV级急性GVHD的累积发生率分别为3.3%,未观察到100天内发生IV级急性GVHD的病例。2年时,中重度慢性GVHD的累积发生率为7.20%。采用VEN联合Flu和Mel(VFM)预处理方案进行allo-HSCT后,2年的OS、DFS和GRFS率分别为71.0%,67.9%和61.6%。移植后2年的复发累积发生率和非复发死亡率分别为12.0%和20.0%。
 

研究结论:在以氟达拉滨和美法仑为基础的预处理方案中加入维奈克拉,可显著增加年龄>50岁的AML患者的生存率,并改良allo-HSCT的总体预后。

 

研究者“浙”样说

CR1后单倍体移植的预后优势

老年AML患者的治疗一直是临床难点之一,尤其是对于完全缓解后的患者,如何选择合适的治疗方案以改善预后仍是亟待解决的问题。近年来,单倍体造血干细胞移植作为一种潜在的治疗选择逐渐受到关注,随着移植技术的进步和GVHD预防方案的优化,其在老年AML患者中的应用前景逐渐显现。


 


施继敏教授:在本次EBMT会议中,我们汇报了一项单倍体造血干细胞移植(HAPLO-HCT)与传统化疗在首次完全缓解(CR1)老年AML患者中的时间依赖性分析研究(A039)。作为具有潜在临床应用价值的治疗选择,单倍体造血干细胞移植为高龄AML患者提供了重要的治疗机遇。然而,与化疗相比,单倍体造血干细胞移植能否给这些患者带来更好的预后尚未明确。

 

本研究纳入120例治疗后获得CR1的60岁以上AML患者,其中37例患者在CR1后接受了HAPLO-HCT。多变量时间依赖性Cox模型分析显示,HAPLO-HCT是无复发生存(RFS)的独立保护因素。多状态模型分析显示,未接受HAPLO-HCT的患者4年持续CR的预测概率仅为4.8%。进一步对CR1后1年内无复发或死亡的患者进行分析,结果显示接受HAPLO-HCT的患者4年持续CR的预测概率为85.0%,而未接受HAPLO-HCT的患者这一概率仅为10.7%。超级界标分析(super landmark analysis)也证实HAPLO-HCT与更好的RFS和总体生存相关。
 

综上,本研究表明,HAPLO-HCT能够显著改善老年AML患者的预后,提示其可能较传统化疗更具优势。需指出的是,当前研究样本量较为有限,未来有必要通过更大规模的前瞻性研究进一步验证上述结论,从而为老年AML患者的临床决策提供更为稳健的理论依据。

 

A039
BENEFITS OF HAPLOIDENTICAL HEMATOPOIETIC STEM CELL TRANSPLANTATION FOR ELDERLY PATIENTS WITH ACUTE MYELOID LEUKEMIA IN FIRST COMPLETE REMISSION: AN IN-DEPTH TIME-DEPENDENT ANALYSIS

单倍体造血干细胞移植对首次完全缓解期老年急性髓系白血病患者的获益:一项深度时间依赖性分析

第一作者:蒋冰倩(浙江大学医学院附属第一医院)

通讯作者:黄河(浙江大学医学院附属第一医院)、施继敏(浙江大学医学院附属第一医院)
 

研究背景:单倍体相合造血干细胞移植为老年急性髓系白血病患者提供了有前景的治疗选择。然而,相较于化疗,该疗法是否能为这些患者带来更好的预后仍不明确。
 

研究方法:本研究纳入120例经治疗后达到首次完全缓解的60岁以上AML患者,通过时间依赖性Cox回归模型、多状态模型及超级界标分析三种方法进行深入的时间依赖性分析。
 

研究结果:37例患者于CR1后接受haplo-HSCT治疗,其中18例(48.6%)为欧洲白血病网预后不良风险组;其余83例接受化疗的患者中,50例(60.2%)为预后不良风险组。多变量时间依赖性Cox模型显示,haplo-HSCT是无复发生存(RFS)的独立保护因素(HR 0.329,95%CI 0.141-0.770;P=0.010)。多状态模型预测显示,未接受haplo-HSCT治疗患者维持完全缓解的4年概率仅为4.8%。对CR1后1年内未发生事件患者的进一步分析表明,接受haplo-HSCT治疗患者维持完全缓解的4年预测概率达85.0%,而未接受该治疗者仅为10.7%。超级界标分析证实,haplo-HSCT与更优的RFS(HR 0.215,95%CI:0.070-0.659;P=0.007)及总生存(HR 0.294,95%CI:0.094-0.917;P=0.035)显著相关。
 

研究结论:在CR1阶段实施haplo-HSCT可显著改善老年AML患者的预后,对于该群体可能是优于化疗的治疗选择。

 

研究者“浙”样说

单倍体移植体系逐步完善

近年来,单倍体移植正逐渐成为除传统全相合移植之外的一个重要替代方案。与此同时,新型预处理方案及全程管理策略为改写移植治疗格局提供了可能。这些新进展为重塑老年患者移植的临床决策边界,推动全球血液肿瘤治疗格局的优化提供了坚实的基础。

 

叶逸山副研究员:在本次EBMT会议中,我参与了三项研究工作,现重点就OS5-05及B280两项研究作详细阐述:

 

第一项研究OS5-05由我们团队与欧洲血液与骨髓移植学会联合开展的国际多中心合作项目,旨在评估在移植后环磷酰胺(PTCy)的GVHD预防方案下,单倍体造血干细胞移植(HAPLO-HCT)、亲缘全合造血干细胞移植(MSD-HCT)以及非亲缘全合造血干细胞移植(MUD-HCT)在AML第二次完全缓解期(CR2)患者中的疗效。通过全球200余个医疗中心纳入的3000余例病例数据,研究发现对于CR2期AML患者,HAPLO-PTCy移植较MUD-HSCT显著降低复发率(RI)及慢性GVHD发生率,在无GVHD复发生存期(GRFS)方面展现出显著优势。在既往抗胸腺细胞球蛋白(ATG)为基础的中国方案之外,该研究为HAPLO-PTCy移植体系的建立提供了依据,进一步证实HAPLO-HCT可作为安全有效的治疗选择,在AML诊疗策略中具有重要价值。本研究的顺利完成得益于黄河教授团队与EBMT持续二十余年的深度合作,极大地推动了中欧之间的学术交流与合作,并为未来在相关领域的研究提供了重要的指导和借鉴。
 

另一项研究B280由黄河教授、陆军军医大学新桥医院张曦教授及本人共同担任通讯作者,聚焦于HAPLO-HCT与传统化疗在老年AML患者中的疗效差异。尽管传统观点认为,55岁以上的高龄患者因移植相关毒性风险较高而难以耐受移植,但近年来随着移植技术的不断改进、预处理方案的优化以及GVHD诊治的进步,越来越多的老年患者正逐步纳入移植适应证。本研究结果显示,HAPLO-HCT相较于单纯化疗具有更优的治疗效果——复发率显著降低,为老年患者带来了更好的生存优势。因此,相信随着异基因造血干细胞移植技术的不断进步,未来将会有越来越多的老年甚至超高龄的患者能够接受移植治疗,从而为他们带来长期治愈和长期生存的希望。我们未来的工作重点则是利用新型诊疗手段,如小分子抑制剂和CAR-T细胞免疫治疗等,进一步扩大移植适用人群,以期使更多患者获得治愈机会。

 

OS5-05
SUPERIOR GRFS FOR HAPLOIDENTICAL TRANSPLANT WITH PTCY THAN MATCHED UNRELATED DONOR FOR AML PATIENTS TRANSPLANTED IN CR2: A STUDY FROM THE ALWP OF THE EBMT

对于第二次完全缓解期(CR2)的急性髓系白血病(AML)患者,采用移植后环磷酰胺(PTCy)的单倍体移植相比全相合无关供者移植具有更优的无移植物抗宿主病无复发生存率(GRFS):一项来自EBMT急性白血病工作组(ALWP)的研究

第一作者:叶逸山(浙江大学医学院附属第一医院)

通讯作者:黄河(浙江大学医学院附属第一医院),Mohamad Mohty(法国巴黎圣安东尼医院), Fabio Ciceri(意大利圣拉斐尔医院)

 

研究背景:处于第二次完全缓解期(CR2)的急性髓系白血病(AML)患者造血干细胞移植供者选择仍不明确。单倍体相合造血干细胞移植联合移植后环磷酰胺(PTCy)预防GVHD的方案(HAPLO PTCy)值得关注。我们比较了来自HAPLO PTCy、匹配同胞供者(MSD)或10/10匹配无关供者(MUD)的异基因造血细胞移植(allo-HCT)的结局。
 

研究方法:研究分析了来自欧洲血液和骨髓移植学会(EBMT)294个中心的3878名在2010年至2022年间首次接受allo-HCT的CR2期成年AML患者的数据。使用了单变量分析和Cox回归模型分析。

 

研究结果:分析了803例(21%)HAPLO PTCy、1271例(33%)MSD和1804例(47%)MUD的HCT结果。整个队列的中位年龄为53岁(范围:18-75岁)。与MUD(79.6%)或MSD(70.2%)相比,更高比例(80.7%)的欧洲白血病网络(ELN2022)中/高危细胞遗传学患者接受了HAPLO PTCy的allo-HCT。移植前可测量残留病灶(MRD)阳性的患者比例在三组中相当。外周血是主要的移植物来源(88%),49%的患者使用了清髓性预处理(MAC)。HAPLO PTCy的植入率(95%)略低于MSD(99%)和MUD(99%)。原发病是主要的死亡原因。

 

在多变量分析中,与MSD HCT相比,HAPLO PTCy(风险比[HR]=0.65,95%CI:0.51-0.82;P<0.001)与较低的复发率(RI)相关,尽管非复发死亡率(NRM)较高(HR=1.77,95%CI:1.34-2.34;P<0.001)。值得注意的是,HAPLO PTCy的慢性移植物抗宿主病(cGVHD)(HR=0.6,95%CI:0.49-0.75;P<0.001)以及广泛性cGVHD(HR=0.48,95% CI :0.35-0.66;P<0.001)的风险显著低于MSD HCT。最后,HAPLO PTCy HCT的总生存期(OS)低于MSD HCT(HR=1.28,95%CI:1.05-1.54;P=0.012),而在无白血病生存期(LFS)和无GVHD复发生存期(GRFS)方面没有观察到差异。
 

当比较HAPLO PTCy和MUD时, HAPLO PTCy HCT与较低的RI风险(HR=0.64,95% CI 0.48-0.82;P<0.001)、cGVHD(HR=0.64,95% CI 0.51-0.81;P<0.001)和广泛性cGVHD(HR=0.47,95% CI 0.34-0.66;P<0.001)相关。在急性GVHD(aGVHD)和II-IV级aGVHD风险方面,两者之间没有显著差异。总体而言,HAPLO PTCy HCT的无GVHD复发生存期(GRFS:HR=0.81,95%CI:0.68-0.95;P=0.013)优于MUD HCT,而在NRM、LFS和OS方面没有观察到差异。

 

供者年龄较大(每10岁)与较高的NRM和较差的OS、LFS和GRFS相关。与细胞遗传学良好的患者相比,具有中/高危细胞遗传学的AML患者的RI较高,OS、LFS和GRFS较差。诊断与HCT之间的间隔时间较长(≥18个月)是复发的保护因素,并与更好的OS、LFS和GRFS相关。与MAC相比,减低强度预处理(RIC)与较高的RI相关,导致较差的OS、LFS和GRFS。

 

研究结论:对于CR2期的AML患者,HAPLO-PTCy移植与较低的RI和cGVHD相关,从而在GRFS方面优于MUD HCT。

 

B280
Superior outcomes of haploidentical hematopoietic cell transplantation over chemotherapy in AML patients 55 years or olderHLA

单倍体造血干细胞移植在55岁及以上急性髓系白血病患者中的疗效优于化疗

第一作者:李琳(浙江大学医学院附属第一医院)通讯作者:黄河(浙江大学医学院附属第一医院),张曦(中国人民解放军陆军军医大学新桥医院),叶逸山(浙江大学医学院附属第一医院)
 

研究背景:急性髓系白血病(AML)主要影响老年人群,且大多数病例的诊断年龄≥60岁。尽管治疗有所进展,老年AML患者的预后仍然较差。

 

研究方法:我们开展了一项回顾性研究,纳入了307例连续的AML患者,其中71例接受了单倍体造血干细胞移植(Haplo),236例仅接受了化疗(Chemo)。通过倾向评分匹配(1:1比例),根据治疗开始时的年龄、性别和ELN2022风险分层匹配两组。匹配后,分析了Haplo组和Chemo组的69对病例对照。
 

研究结果:两组在完全缓解前的治疗情况相似,且Haplo组中有72.5%的患者接受了减低剂量预处理。与化疗组相比,Haplo组具有显著的生存优势,1年总生存率(OS)为77.9%(95% CI,65.5-86.3)对比62.0%(95%CI:47.9-73.2,P= 0.009)。此外,Haplo组的1年无白血病生存率(LFS)为74.1%(95%CI:61.5-83.1),显著高于化疗组的42.0%(95%CI:29.3-54.0)(P< 0.001)。生存优势主要归因于复发发生率的显著降低(Haplo: 16.5%(95%CI:8.7-26.5)vs Chemo: 56.6%(95%CI:42.9-68.2),P< 0.001)。

 

研究结论:综上所述,单倍体造血干细胞移植相比单纯化疗显示了更优的治疗效果,未来可能成为适合移植的55岁及以上AML患者的重要治疗选择。

 

B238
Allo-HCT outcomes for AML patients with TP53 mutations in active disease: a study on behalf of the Global Committee and the ALWP of the EBMT

伴TP53突变的急性髓系白血病患者在疾病活动期接受异基因造血干细胞移植的疗效研究——来自EBMT全球委员会及急性白血病工作组

第一作者:李琳(浙江大学医学院附属第一医院)通讯作者:黄河(浙江大学医学院附属第一医院), Fabio Ciceri(意大利圣拉斐尔医院),Norbert Claude Gorin(法国巴黎圣安东尼医院)
 

研究背景:TP53突变的急性髓系白血病(AML)与常规化疗反应差和不良预后密切相关。在TP53突变的AML患者中,活动期患者接受同种异体造血干细胞移植(allo-HCT)的效果尚不明确。
 

研究方法:本文分析了2012至2022年间,来自欧洲造血与骨髓移植学会83个中心的183例首次接受allo-HCT的TP53突变成人AML患者的临床数据,这些患者在移植时均未处于完全缓解状态。
 

研究结果:在183名患者中,121名为原发性AML,62名为继发性AML。其中,141名患者在初次诱导治疗中未能缓解,42名患者出现了复发或疾病进展。移植时的中位年龄为60.3岁(范围:52.4–66.2岁),其中64%为男性。供者的中位年龄为36岁(范围:26.2–47.9岁),71%为男性。

 

在移植策略方面,41名患者接受了单倍体造血干细胞移植,43名患者接受了同胞全合移植,99名患者接受了10/10相合的非亲缘供者移植。92名患者接受了减低剂量预处理,87名患者接受了清髓性预处理。关于移植物抗宿主病(GVHD)预防,107名患者接受了抗胸腺细胞球蛋白(ATG)治疗,37名患者接受了移植后环磷酰胺(PTCy)治疗,8名患者接受了ATG与PTCy联合治疗。
 

中位随访时间为3年(范围:2–4.4年)。2年时,总体生存率(OS)为20.5%(范围:14–28),无白血病生存率(LFS)为16.7%(范围:10.9–23.5)。2年时,无GVHD无复发生存率(GRFS)为9.4%(范围:5.2–15.3)。主要死亡原因为原发性疾病进展(48%),其次为感染、GVHD和器官毒性。2年时,复发率为53.2%(范围:44.4–61.3),非复发性死亡率为30.1%(范围:22.7–37.9)。180天时,II-IV级急性GVHD的累积发生率为31.8%(范围:24–39.9),III-IV级急性GVHD的发生率为11.4%(范围:6.7–17.5)。2年时,慢性GVHD的累积发生率为17%(范围:11.1–24.1),其中8.6%患者发展为广泛性慢性GVHD(范围:4.5–14.3)。
 

研究结论:对于处于活动期的TP53突变AML患者,allo-HCT可能提供一定的生存获益。因此,allo-HCT可作为这些患者特别是化疗耐药或复发/进展患者的重要治疗选择。然而,改善这一高风险亚群治疗效果的新策略亟需进一步研究。

 

黄河教授团队

移路守护下期精彩预告

 

下一期移植专题中,将解读多项急性髓系白血病移植领域方面的前沿研究成果:

王丽朦朦医生(OS3-06):乳酸脱氢酶B亚基(LDHB)是克服急性髓系白血病中塞利尼索耐药的治疗靶点;

郑伟燕教授(A138):地西他滨联合维奈克拉方案序贯微移植治疗老年急性髓系白血病;

张诗轩医生(B217):异基因造血干细胞移植(allo-HSCT)治疗NUP98重排急性髓系白血病的真实世界多中心经验;

堵梦宝(B265):抑制KAT6A作为克服急性髓系白血病IDH抑制剂耐药的新策略;

请持续关注,共同探索移植前沿研究的最新进展!

 

罗依 教授

浙江大学医学院附属第一医院

医学博士 教授 主任医师 博士生导师 

浙江大学医学院附属第一医院骨髓移植中心副主任

浙江省卫生高层次创新人才

中华医学会血液学分会造血干细胞移植学组副组长

浙江省医学会血液学分会常务委员

浙江省抗癌协会血液肿瘤专业委员会委员

中国抗癌协会血液肿瘤专业委员会造血干细胞与细胞治疗学组委员

中国老年医学会血液学分会移植感染学术委员会委员

中国抗癌协会血液肿瘤专业委员会第一届青年委员会副主任委员

长期从事造血干细胞移植临床及基础研究,主持多项国家自然科学基金;以第一或通讯作者发表《Blood》《Leukemia》《AJH》《BJH》   《BMT》《BBMT》等多篇SCI文章

作为排名第二主参者,获得2015年国家科技进步二等奖,2013年教育部科技进步一等奖,2011年浙江省科技进步一等奖

 

施继敏 教授

浙江大学医学院附属第一医院

医学博士,主任医师,博士生导师

浙江大学医学院附属第一医院骨髓移植中心副主任

中华医学会血液分会第十一届感染学组委员

中国CSCO自体干细胞移植协作组成员

浙江省医学会血液学分会第十一届副主任委员

浙江省抗癌协会血液淋巴专业委员会第八届副主任委员

浙江省免疫学会第四届血液免疫专委会副主任委员

浙江省免疫学会理事浙江省造血干细胞捐献专家组成员

国家自然基金委一审专家浙江省自然基金评审专家主要研究领域:造血干细胞移植、细胞免疫治疗、血液系统恶性疾病的诊断与治疗。作为课题负责人组织承担国家自然科学基金课题3项,省级重大课题1项。参与国家自然基金及省部级课题多项。

在本专业顶级期刊《Blood》和《Biol Blood and Marrow Transplant》、《Bone Marrow Transplant》等SCI收录杂志及国内一级期刊发表论文30余篇。主要参与人获国家科技进步二等奖1项,教育部高等学校科学技术进步奖一等奖1项,省科技进步奖一等奖2项。

 

叶逸山 副研究员

浙江大学医学院附属第一医院特聘副研究员

浙江大学硕士研究生导师

EBMT中国办公室研究协调员

浙江省免疫学会血液免疫专业委员会秘书

浙江省医学会血液学分会青年委员

法国索邦大学医学/科学博士 导师:Mohamad Mohty

Cell Discovery, Journal of Hematology & Oncology,American Journal of Hematology等杂志以第一作者/通讯作者发表SCI论文10余篇,参与发表30余篇;Bone Marrow Transplantation等杂志特约审稿人

主持国家自然科学基金青年基金1项,主参/参与国家自然科学基金重点项目等国家级课题9项

美国血液学年会(ASH)口头报告×3,EBMT口头报告数次

EBMT2023,2024最佳口头摘要奖,ASH摘要成就奖

版面编辑:张冉   责任编辑:王一铭
本内容仅供医学专业人士参考
相关搜索:  干细胞移植

发表评论

提交评论
  • 相关推荐
  • 学术领域